| Binary Integer Programming - Introduction | Previous | Next |
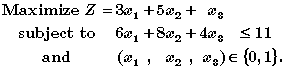
| To illustrate the branch-and-bound algorithm for Binary Integer Programming (BIP) presented in Section 12.6, consider the following BIP problem: |
![]() |
| As can be seen by inspection (try it), the optimal solution is ( |
| The algorithm will find and verify this optimal solution after 4 iterations. |